Menu
Bisnis dan Perpajakan
Home
Tentang Kami
Transfer Pricing
Peraturan
Summary
Artikel
Bisnis Restorasi
Artikel
Galeri
Youtube
Kasus
Perpajakan
Peraturan
Summary
Artikel
Bisnis Dan Manajemen
Ketenagakerjaan
Bea Cukai
Perizinan
Bisnis
Manajemen
Media
Galeri
Youtube
Penghargaan
Rekanan Kami
Karir
Hubungi Kami
Cari
Home
>
Bisnis Dan Manajemen
>
Bea Cukai
>
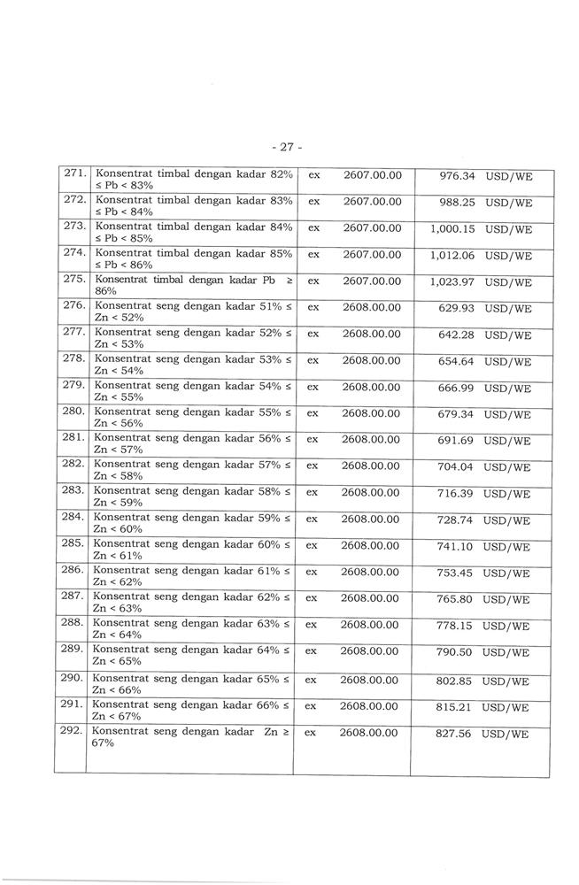
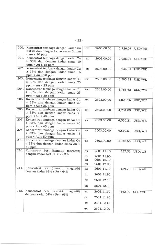
KEPUTUSAN MENTERI KEUANGAN REPUBLIK INDONESIA NOMOR 7/KM.04/2021
Print
KEPUTUSAN MENTERI KEUANGAN REPUBLIK INDONESIA NOMOR 7/KM.04/2021
Back to Top