PT. HBMS Consulting
Menu
  Bisnis dan Perpajakan
Konsultasi Online eConsult
  • Home
  • Tentang Kami
  • Transfer Pricing
    • Peraturan
    • Summary
    • Artikel
  • Bisnis Restorasi
    • Artikel
    • Galeri
    • Youtube
    • Kasus
  • Perpajakan
    • Peraturan
    • Summary
    • Artikel
  • Bisnis Dan Manajemen
    • Ketenagakerjaan
    • Bea Cukai
    • Perizinan
    • Bisnis
    • Manajemen
  • Media
    • Galeri
    • Youtube
    • Penghargaan
  • Rekanan Kami
  • Karir
  • Hubungi Kami
  • Cari
Home > Transfer Pricing > Peraturan > TP Peraturan > PERATURAN DIREKTUR JENDERAL PAJAK NOMOR PER - 22/PJ/2013
Print Print

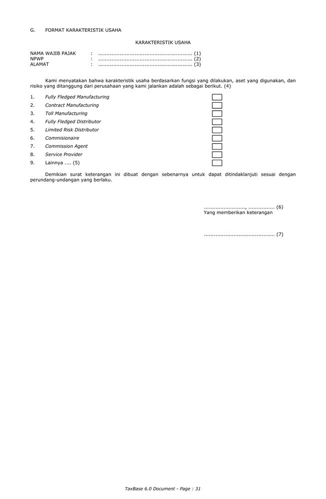
PERATURAN DIREKTUR JENDERAL PAJAK NOMOR PER - 22/PJ/2013

PERATURAN DIREKTUR JENDERAL PAJAK NOMOR PER - 22/PJ/2013

Direktorat Jendral Pajak bkpm

Related Articles

  • PERATURAN MENTERI KEUANGAN REPUBLIK INDONESIA NOMOR 22/PMK.03/2020
  • PERATURAN DIREKTUR JENDERAL PAJAK NOMOR 29/PJ/2017
  • PERATURAN MENTERI KEUANGAN REPUBLIK INDONESIA NOMOR 213 / PMK. 03/ 2016
  • PERATURAN DIREKTUR JENDERAL PAJAK NOMOR PER - 22/PJ/2013
  • PERATURAN PEMERINTAH REPUBLIK INDONESIA NOMOR 74 TAHUN 2011
  • PMK 41 TAHUN 2023 PPN atas Penyerahan Agunan yang Diambil Alih oleh Kreditur kepada Pembeli Agunan
  • SURAT DIREKTUR JENDERAL PAJAK NOMOR S - 153/PJ.04/2010
#FOLLOW Bisnis dan Perpajakan
Copyright © 2025 by PT. HBMS Consulting. All rights reserved. Web design by  PSWebMedia
Back to Top