PT. HBMS Consulting
Menu
  Bisnis dan Perpajakan
Konsultasi Online eConsult
  • Home
  • Tentang Kami
  • Transfer Pricing
    • Peraturan
    • Summary
    • Artikel
  • Bisnis Restorasi
    • Artikel
    • Galeri
    • Youtube
    • Kasus
  • Perpajakan
    • Peraturan
    • Summary
    • Artikel
  • Bisnis Dan Manajemen
    • Ketenagakerjaan
    • Bea Cukai
    • Perizinan
    • Bisnis
    • Manajemen
  • Media
    • Galeri
    • Youtube
    • Penghargaan
  • Rekanan Kami
  • Karir
  • Hubungi Kami
  • Cari
Home > Transfer Pricing > Peraturan > TP Peraturan > PERATURAN PEMERINTAH REPUBLIK INDONESIA NOMOR 74 TAHUN 2011
Print Print

PERATURAN PEMERINTAH REPUBLIK INDONESIA NOMOR 74 TAHUN 2011

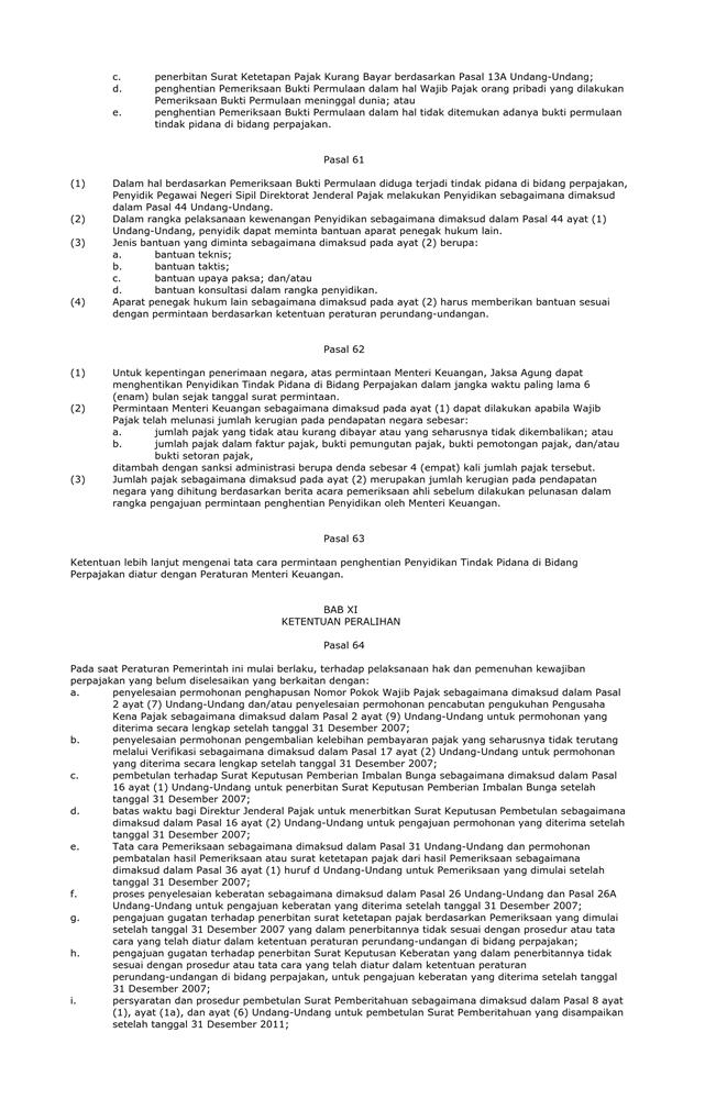
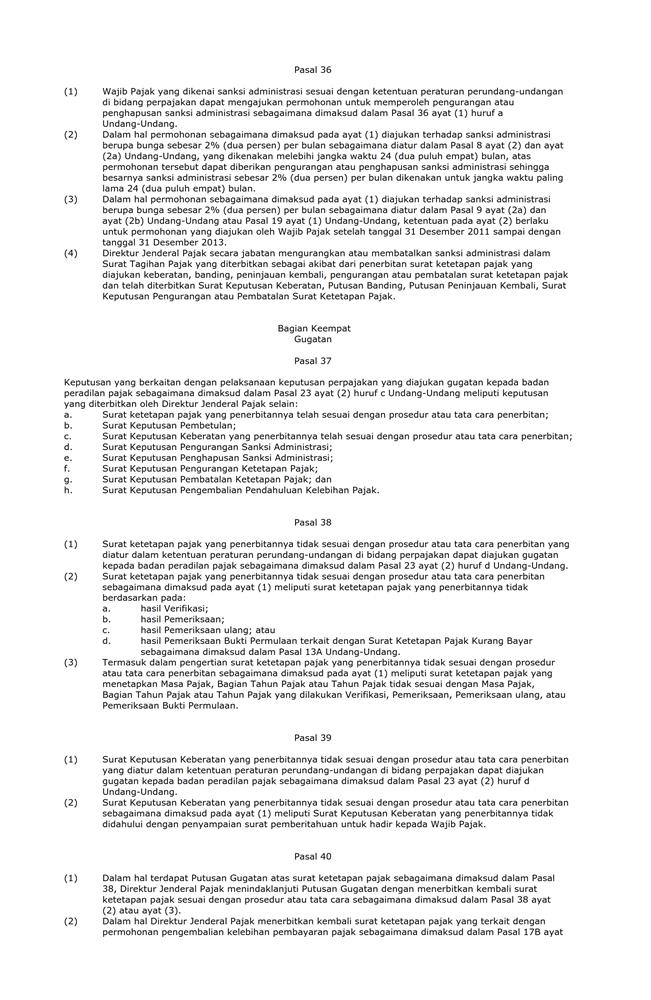
PERATURAN PEMERINTAH REPUBLIK INDONESIA

NOMOR 74 TAHUN 2011


Direktorat Jendral Pajak bkpm

Related Articles

  • PERATURAN MENTERI KEUANGAN REPUBLIK INDONESIA NOMOR 22/PMK.03/2020
  • PERATURAN DIREKTUR JENDERAL PAJAK NOMOR 29/PJ/2017
  • PERATURAN MENTERI KEUANGAN REPUBLIK INDONESIA NOMOR 213 / PMK. 03/ 2016
  • PERATURAN DIREKTUR JENDERAL PAJAK NOMOR PER - 22/PJ/2013
  • PERATURAN PEMERINTAH REPUBLIK INDONESIA NOMOR 74 TAHUN 2011
  • PMK 41 TAHUN 2023 PPN atas Penyerahan Agunan yang Diambil Alih oleh Kreditur kepada Pembeli Agunan
  • SURAT DIREKTUR JENDERAL PAJAK NOMOR S - 153/PJ.04/2010
#FOLLOW Bisnis dan Perpajakan
Copyright © 2025 by PT. HBMS Consulting. All rights reserved. Web design by  PSWebMedia
Back to Top