PERATURAN MENTERI KEUANGAN REPUBLIK INDONESIA
NOMOR 4/PMK.03/2021
TENTANG
PEMBAYARAN BEA METERAI, CIRI UMUM DAN CIRI KHUSUS METERAI TEMPEL,
METERAI DALAM BENTUK LAIN, DAN PENENTUAN KEABSAHAN METERAI,
SERTA PEMETERAIAN KEMUDIAN
DENGAN RAHMAT TUHAN YANG MAHA ESA
MENTERI KEUANGAN REPUBLIK INDONESIA,
Menimbang :
bahwa untuk melaksanakan ketentuan Pasal 12 ayat (4), Pasal 13 ayat (5), Pasal 15 ayat (2), Pasal 16 ayat (2), Pasal 20, dan Pasal 29 Undang-Undang Nomor 10 Tahun 2020 tentang Bea Meterai, perlu menetapkan Peraturan Menteri Keuangan tentang Pembayaran Bea Meterai, Ciri Umum dan Ciri Khusus Meterai Tempel, Meterai Dalam Bentuk Lain, dan Penentuan Keabsahan Meterai, serta Pemeteraian Kemudian;
Mengingat :
- Pasal 17 ayat (3) Undang-Undang Dasar Negara Republik Indonesia Tahun 1945;
- Undang-Undang Nomor 39 Tahun 2008 tentang Kementerian Negara (Lembaran Negara Republik Indonesia Tahun 2008 Nomor 166, Tambahan Lembaran Negara Republik Indonesia Nomor 4916);
- Undang-Undang Nomor 10 Tahun 2020 tentang Bea Meterai (Lembaran Negara Republik Indonesia Tahun 2020 Nomor 240, Tambahan Lembaran Negara Republik Indonesia Nomor 6571);
- Peraturan Presiden Nomor 57 Tahun 2020 tentang Kementerian Keuangan (Lembaran Negara Republik Indonesia Tahun 2020 Nomor 98);
- Peraturan Menteri Keuangan Nomor 217/PMK.01/2018 tentang Organisasi dan Tata Kerja Kementerian Keuangan (Berita Negara Republik Indonesia Tahun 2018 Nomor 1862) sebagaimana telah diubah dengan Peraturan Menteri Keuangan Nomor 87/PMK.01/2019 tentang Perubahan atas Peraturan Menteri Keuangan Nomor 217/PMK.01/2018 tentang Organisasi dan Tata Kerja Kementerian Keuangan (Berita Negara Republik Indonesia Tahun 2019 Nomor 641);
MEMUTUSKAN:
Menetapkan :
PERATURAN MENTERI KEUANGAN TENTANG PEMBAYARAN BEA METERAI, CIRI UMUM DAN CIRI KHUSUS METERAI TEMPEL, METERAI DALAM BENTUK LAIN, DAN PENENTUAN KEABSAHAN METERAI, SERTA PEMETERAIAN KEMUDIAN.
BAB I
KETENTUAN UMUM
Pasal 1
Dalam Peraturan Menteri ini, yang dimaksud dengan:
- Undang-Undang Bea Meterai adalah Undang-Undang Nomor 10 Tahun 2020 tentang Bea Meterai.
- Bea Meterai adalah pajak atas dokumen.
- Dokumen adalah sesuatu yang ditulis atau tulisan, dalam bentuk tulisan tangan, atau cetakan yang dapat dipakai sebagai alat bukti atau keterangan.
- Tanda Tangan adalah tanda sebagai lambang nama sebagaimana lazimnya dipergunakan, termasuk paraf, teraan atau cap tanda tangan atau cap paraf, teraan atau cap nama, atau tanda lainnya sebagai pengganti tanda tangan, atau tanda tangan elektronik sebagaimana dimaksud dalam undang-undang di bidang informasi dan transaksi elektronik.
- Meterai adalah label atau carik dalam bentuk tempel atau bentuk lainnya yang memiliki ciri dan mengandung unsur pengaman yang dikeluarkan oleh Pemerintah Republik Indonesia, yang digunakan untuk membayar pajak atas Dokumen.
- Pihak Yang Terutang adalah pihak yang dikenai Bea Meterai dan wajib membayar Bea Meterai yang terutang.
- Pemungut Bea Meterai adalah pihak yang wajib memungut Bea Meterai yang terutang atas Dokumen tertentu dari Pihak Yang Terutang, menyetorkan Bea Meterai ke kas negara, dan melaporkan pemungutan dan penyetoran Bea Meterai ke kantor Direktorat Jenderal Pajak.
- Pembuat Meterai Dalam Bentuk Lain, yang selanjutnya disebut Pembuat Meterai, adalah orang perseorangan dan/atau badan, baik yang berbentuk badan hukum maupun tidak berbadan hukum, yang membuat Meterai dalam bentuk lain.
- Pemeteraian Kemudian adalah pemeteraian yang memerlukan pengesahan dari pejabat yang ditetapkan oleh menteri.
- Pejabat adalah pejabat yang berwenang untuk melakukan pengesahan Pemeteraian Kemudian.
- Kantor Pelayanan Pajak, yang selanjutnya disingkat KPP, adalah instansi vertikal Direktorat Jenderal Pajak yang berada di bawah dan bertanggung jawab secara langsung kepada Kepala Kantor Wilayah Direktorat Jenderal Pajak.
- Surat Setoran Pajak, yang selanjutnya disingkat SSP, adalah bukti pembayaran atau penyetoran pajak yang telah dilakukan dengan menggunakan formulir atau telah dilakukan dengan cara lain ke kas negara melalui tempat pembayaran yang ditunjuk oleh menteri.
- Kode Billing adalah kode identifikasi yang diterbitkan oleh sistem billing atas suatu jenis pembayaran atau setoran yang akan dilakukan wajib pajak/wajib bayar/wajib setor.
- Nomor Transaksi Penerimaan Negara, yang selanjutnya disingkat NTPN, adalah nomor tanda bukti pembayaran atau penyetoran ke kas negara yang diterbitkan melalui modul penerimaan negara atau oleh sistem penerimaan negara yang dikelola oleh Direktorat Jenderal Perbendaharaan yang memfasilitasi penyelesaian proses pembayaran dan pemberian NTPN.
- Menteri adalah menteri yang menyelenggarakan urusan pemerintahan di bidang keuangan.
BAB II
PEMBAYARAN BEA METERAI
Bagian Kesatu
Pembayaran Bea Meterai yang Terutang
Pasal 2
(1) Pihak Yang Terutang melakukan pembayaran Bea Meterai yang terutang pada Dokumen pada saat terutang Bea Meterai sebagaimana dimaksud dalam Pasal 8 Undang-Undang Bea Meterai.
(2) Dokumen yang terutang Bea Meterai dikenai Bea Meterai dengan tarif tetap sebesar Rp10.000,00 (sepuluh ribu rupiah).
Pasal 3
(1) Pembayaran Bea Meterai yang terutang pada Dokumen dilakukan dengan menggunakan:
a. Meterai; atau
b. SSP.
(2) Meterai sebagaimana dimaksud pada ayat (1) huruf a berupa:
a. Meterai tempel; atau
b. Meterai dalam bentuk lain.
Bagian Kedua
Pembayaran Bea Meterai
dengan Menggunakan Meterai Tempel
serta Ciri Umum dan Ciri Khusus Meterai Tempel
Pasal 4
(1) Pembayaran Bea Meterai dengan menggunakan Meterai tempel sebagaimana dimaksud dalam Pasal 3 ayat (2) huruf a dilakukan dengan membubuhkan Meterai yang sah dan berlaku serta belum pernah dipakai untuk pembayaran Bea Meterai atas suatu Dokumen, dengan cara menempelkan pada Dokumen yang terutang Bea Meterai.
(2) Pembubuhan Meterai tempel sebagaimana dimaksud pada ayat (1) dilakukan dengan:
a. direkatkan seluruhnya dengan utuh dan tidak rusak di tempat Tanda Tangan akan dibubuhkan; dan
b. dibubuhkan Tanda Tangan sebagian di atas kertas dan sebagian di atas Meterai tempel disertai dengan pencantuman tanggal, bulan, dan tahun dilakukannya penandatanganan.
Pasal 5
(1) Meterai tempel sebagaimana dimaksud dalam Pasal 3 ayat (2) huruf a memiliki ciri umum dan ciri khusus.
(2) Ciri umum dan ciri khusus Meterai tempel sebagaimana dimaksud pada ayat (1) tercantum dalam Lampiran huruf A yang merupakan bagian tidak terpisahkan dari Peraturan Menteri ini.
(3) Selain ciri khusus sebagaimana dimaksud pada ayat (2), dapat ditambahkan ciri khusus Meterai tempel yang ditetapkan dengan Keputusan Menteri.
Bagian Ketiga
Pembayaran Bea Meterai
dengan Menggunakan Meterai Dalam Bentuk Lain
Pasal 6
Meterai dalam bentuk lain sebagaimana dimaksud dalam Pasal 3 ayat (2) huruf b meliputi:
- Meterai teraan;
- Meterai komputerisasi; dan
- Meterai percetakan.
Paragraf 1
Pembayaran Bea Meterai
dengan Menggunakan Meterai Teraan
Pasal 7
Meterai teraan sebagaimana dimaksud dalam Pasal 6 huruf a hanya digunakan untuk pembayaran Bea Meterai oleh Pihak Yang Terutang yang telah memperoleh izin tertulis dari Direktur Jenderal Pajak untuk membuat Meterai teraan.
Pasal 8
(1) Pembayaran Bea Meterai dengan menggunakan Meterai teraan sebagaimana dimaksud dalam Pasal 6 huruf a dilakukan dengan membubuhkan Meterai yang dibuat dengan menggunakan mesin teraan meterai digital pada Dokumen yang terutang Bea Meterai.
(2) Dalam hal Dokumen yang terutang Bea Meterai terdiri atas dua lembar atau lebih, Meterai teraan dibubuhkan pada lembar pertama Dokumen.
(3) Meterai teraan sebagaimana dimaksud dalam Pasal 6 huruf a berwarna merah dan memiliki unsur-unsur yang meliputi:
a. logo Kementerian Keuangan;
b. tulisan "Direktorat Jenderal Pajak";
c. logo dan/ atau tulisan nama Pembuat Meterai;
d. tulisan "METERAI TERAAN";
e. angka yang menunjukkan tarif Bea Meterai;
f. tanggal, bulan, dan tahun pembubuhan;
g. nomor mesin; dan
h. kode unik.
Paragraf 2
Pembayaran Bea Meterai
dengan Menggunakan Meterai Komputerisasi
Pasal 9
Meterai komputerisasi sebagaimana dimaksud dalam Pasal 6 huruf b hanya digunakan untuk pembayaran Bea Meterai oleh Pihak Yang Terutang yang telah memperoleh izin tertulis dari Direktur Jenderal Pajak untuk membuat Meterai komputerisasi.
Pasal 10
(1) Pembayaran Bea Meterai dengan menggunakan Meterai komputerisasi sebagaimana dimaksud dalam Pasal 6 huruf b dilakukan dengan membubuhkan Meterai yang dibuat dengan menggunakan sistem komputerisasi pada Dokumen yang terutang Bea Meterai.
(2) Dalam hal Dokumen yang terutang Bea Meterai terdiri atas dua lembar atau lebih, Meterai komputerisasi dibubuhkan pada lembar pertama Dokumen.
(3) Meterai komputerisasi sebagaimana dimaksud dalam Pasal 6 huruf b memiliki unsur-unsur yang meliputi:
a. tulisan "BEA METERAI LUNAS"; dan
b. angka yang menunjukkan tarif Bea Meterai.
Paragraf 3
Pembayaran Bea Meterai dengan Menggunakan Meterai Percetakan
Pasal 11
(1) Pembayaran Bea Meterai dengan menggunakan Meterai percetakan sebagaimana dimaksud dalam Pasal 6 huruf c dilakukan dengan membubuhkan Meterai yang dibuat dengan menggunakan teknologi percetakan pada Dokumen yang terutang Bea Meterai.
(2) Pembubuhan Meterai yang dibuat dengan menggunakan teknologi percetakan sebagaimana dimaksud pada ayat (1) hanya dilakukan dalam rangka pemungutan Bea Meterai atas Dokumen berupa cek dan bilyet giro.
Pasal 12
(1) Pembubuhan Meterai yang dibuat dengan menggunakan teknologi percetakan sebagaimana dimaksud dalam Pasal 11 ayat (1) dilaksanakan oleh Pembuat Meterai yang telah memperoleh izin tertulis dari Direktur Jenderal Pajak untuk membuat Meterai percetakan.
(2) Meterai percetakan sebagaimana dimaksud dalam Pasal 6 huruf c memiliki unsur-unsur yang meliputi:
a. tulisan "METERAI PERCETAKAN";
b. logo Kementerian Keuangan;
c. angka yang menunjukkan tarif Bea Meterai; dan
d. nama Pembuat Meterai.
Bagian Keempat
Pembayaran Bea Meterai
dengan Menggunakan SSP
Pasal 13
SSP sebagaimana dimaksud dalam Pasal 3 ayat (1) huruf b hanya digunakan untuk pembayaran Bea Meterai oleh Pihak Yang Terutang dalam hal:
- pembayaran Bea Meterai atas Dokumen yang akan digunakan sebagai alat bukti di pengadilan sebagaimana dimaksud dalam Pasal 3 ayat (1) huruf b Undang-Undang Bea Meterai, dengan jumlah lebih dari 50 (lima puluh) Dokumen; atau
- pembayaran Bea Meterai dengan menggunakan Meterai tempel sebagaimana dimaksud dalam Pasal 3 ayat (2) huruf a tidak memungkinkan untuk dilakukan karena Meterai tempel tidak tersedia atau tidak dapat digunakan.
Pasal 14
Dalam hal pembayaran Bea Meterai dengan menggunakan Meterai tempel tidak memungkinkan untuk dilakukan pada saat terutang Bea Meterai yang disebabkan keadaan sebagaimana dimaksud dalam Pasal 13 huruf b, pembayaran Bea Meterai dengan menggunakan SSP oleh Pihak Yang Terutang dilakukan paling lama 30 (tiga puluh) hari sejak saat terutang Bea Meterai sebagaimana dimaksud dalam Pasal 8 Undang-Undang Bea Meterai.
Pasal 15
Pembayaran Bea Meterai dengan menggunakan SSP sebagaimana dimaksud dalam Pasal 3 ayat (1) huruf b dilakukan dengan:
- menyetorkan Bea Meterai yang terutang ke kas negara dengan menggunakan formulir SSP atau Kode Billing dengan kode akun pajak 411611 dan kode jenis setoran 100;
- membuat daftar Dokumen dalam hal pembayaran Bea Meterai dengan menggunakan SSP dilakukan atas dua atau lebih Dokumen yang terutang Bea Meterai; dan
melekatkan SSP sebagaimana dimaksud dalam huruf a yang telah mendapatkan NTPN dengan Dokumen yang terutang Bea Meterai atau daftar Dokumen sebagaimana dimaksud dalam huruf b.
BAB III
PENENTUAN KEABSAHAN METERAI
Pasal 16
(1) Pembayaran Bea Meterai dengan menggunakan Meterai tempel sah dalam hal:
a. menggunakan Meterai tempel yang sah dan berlaku, serta belum pernah dipakai untuk pembayaran Bea Meterai atas suatu Dokumen sebagaimana dimaksud dalam Pasal 4 ayat (l); dan
b. memenuhi ketentuan pembubuhan Meterai tempel sebagaimana dimaksud dalam Pasal 4 ayat (2).
(2) Pembayaran Bea Meterai dengan menggunakan Meterai dalam bentuk lain sah dalam hal:
a. Meterai dalam bentuk lain dibuat berdasarkan izin tertulis dari Direktur Jenderal Pajak sebagaimana dimaksud dalam Pasal 7, Pasal 9, a tau Pasal 12 ayat (1); dan
b. menggunakan Meterai dalam bentuk lain sebagaimana dimaksud dalam Pasal 8 ayat (3), Pasal 10 ayat (3), atau Pasal 12 ayat (2).
Pasal 17
Pembayaran Bea Meterai tidak sah dan Dokumen dianggap tidak dibubuhi Meterai dalam hal ketentuan sebagaimana dimaksud dalam Pasal 16 tidak dipenuhi.
Pasal 18
(1) Direktur Jenderal Pajak menentukan keabsahan Meterai dalam hal diperlukan penentuan keabsahan Meterai.
(2) Penentuan keabsahan Meterai sebagaimana dimaksud pada ayat (1) dilakukan berdasarkan permintaan penentuan keabsahan Meterai dari pihak yang terutang atau pihak lain.
(3) Permintaan penentuan keabsahan Meterai sebagaimana dimaksud pada ayat (2) harus dilampiri dengan Meterai yang dimintakan penentuan keabsahannya.
(4) Keabsahan Meterai sebagaimana dimaksud pada ayat (1) ditentukan berdasarkan hasil penelitian keabsahan Meterai.
(5) Dalam hal diperlukan, Direktur Jenderal Pajak dapat meminta keterangan atau penjelasan dari pihak yang melaksanakan pencetakan Meterai tempel dalam rangka penelitian keabsahan Meterai sebagaimana dimaksud pada ayat (4).
BAB IV
PEMETERAIAN KEMUDIAN
Pasal 19
Pemeteraian Kemudian dilakukan untuk:
- Dokumen sebagaimana dimaksud dalam Pasal 3 ayat (2) Undang-Undang Bea Meterai yang Bea Meterainya tidak atau kurang dibayar sebagaimana mestinya; dan/atau
- Dokumen yang digunakan sebagai alat bukti di pengadilan sebagaimana dimaksud dalam Pasal 3 ayat (1) huruf b Undang-Undang Bea Meterai
Pasal 20
Pihak yang wajib membayar Bea Meterai melalui Pemeteraian Kemudian sebagaimana dimaksud dalam Pasal 19 merupakan Pihak Yang Terutang sebagaimana dimaksud dalam Pasal 9 Undang-Undang Bea Meterai.
Pasal 21
Bea Meterai yang wajib dibayar melalui Pemeteraian Kemudian sebagaimana dimaksud dalam Pasal 19 sebesar:
- Bea Meterai yang terutang sesuai dengan ketentuan peraturan perundang-undangan yang berlaku pada saat terutangnya Bea Meterai ditambah dengan sanksi administratif sebesar 100% (seratus persen) dari Bea Meterai yang terutang, dalam hal Dokumen sebagaimana dimaksud dalam Pasal 19 huruf a terutang Bea Meterai sejak tanggal 1 Januari 2021;
- Bea Meterai yang terutang sesuai dengan ketentuan peraturan perundang-undangan yang berlaku pada saat terutangnya Bea Meterai ditambah dengan sanksi administratif sebesar 200% (dua ratus persen) dari Bea Meterai yang terutang, dalam hal Dokumen sebagaimana dimaksud dalam Pasal 19 huruf a terutang Bea Meterai sebelum tanggal 1 Januari 2021; dan
- Bea Meterai yang terutang sesuai dengan ketentuan peraturan perundang-undangan yang berlaku pada saat Pemeteraian Kemudian dilakukan atas Dokumen sebagaimana dimaksud dalam Pasal 19 huruf b.
Pasal 22
(1) Pembayaran Bea Meterai yang terutang sebagaimana dimaksud dalam Pasal 21 dilakukan dengan menggunakan:
a. Meterai tempel; atau
b. SSP sesuai ketentuan sebagaimana dimaksud dalam Pasal 13.
(2) Pembayaran sanksi administratif sebagaimana dimaksud dalam Pasal 21 huruf a dan huruf b dilakukan dengan menggunakan formulir SSP atau Kode Billing dengan kode akun pajak 411611 dan kode jenis setoran 512.
Pasal 23
(1) Pemeteraian Kemudian sebagaimana dimaksud dalam Pasal 19 disahkan oleh:
a. Pejabat pos; atau
b. Pejabat lain yang ditunjuk Direktur Jenderal Pajak.
(2) Pejabat sebagaimana dimaksud pada ayat (1) memastikan:
a. Meterai tempel yang digunakan untuk pembayaran Bea Meterai yang terutang merupakan Meterai tempel yang sah dan berlaku serta belum pernah dipakai untuk pembayaran Bea Meterai atas suatu Dokumen; b. kebenaran SSP yang telah mendapatkan NTPN yang digunakan untuk pembayaran Bea Meterai yang terutang dan/ atau sanksi administratif dengan melakukan konfirmasi pada saluran tertentu yang disediakan oleh Direktur Jenderal Pajak;
c. kesesuaian nilai pembayaran dalam SSP yang telah mendapatkan NTPN dengan jumlah Bea Meterai yang wajib dibayar melalui Pemeteraian Kemudian sebagaimana dimaksud dalam Pasal 21; dan/atau
d. kesesuaian kode akun pajak dan kode jenis setoran.
(3) Dalam hal ketentuan sebagaimana dimaksud pada ayat (2) telah terpenuhi, Pejabat sebagaimana dimaksud pada ayat (1) melakukan pengesahan dengan membubuhkan cap Pemeteraian Kemudian pada:
a. Dokumen atau daftar Dokumen yang Bea Meterainya telah dibayar melalui Pemeteraian Kemudian; dan/ atau
b. SSP yang telah mendapatkan NTPN.
Pasal 24
(1) Pihak Yang Terutang dapat meminta pengesahan kepada Pejabat sebagaimana dimaksud dalam Pasal 23 ayat (1) atas Dokumen yang Bea Meterainya dipungut oleh Pemungut Bea Meterai tetapi belum dibubuhi Meterai.
(2) Pejabat sebagaimana dimaksud pada ayat (1) melakukan pengesahan dengan membubuhkan cap Pemeteraian Kemudian pada Dokumen atau daftar Dokumen dalam hal Pihak Yang Terutang dapat membuktikan bahwa Pemungut Bea Meterai telah menyetorkan Bea Meterai yang terutang atas Dokumen sebagaimana dimaksud pada ayat (1).
Pasal 25
(1) Kepala KPP tempat Pihak Yang Terutang terdaftar dapat menerbitkan surat ketetapan pajak sesuai dengan ketentuan peraturan perundang-undangan di bidang ketentuan umum dan tata cara perpajakan kepada Pihak Yang Terutang untuk menagih Bea Meterai yang terutang dan sanksi administratif sebagaimana dimaksud dalam Pasal 21 huruf a atau huruf b, dalam hal Pihak Yang Terutang tidak melakukan Pemeteraian Kemudian atas Dokumen yang Bea Meterainya tidak atau kurang dibayar sebagaimana dimaksud dalam Pasal 19 huruf a.
(2) Pihak Yang Terutang menyetorkan Bea Meterai yang ditetapkan dengan surat ketetapan pajak sebagaimana dimaksud pada ayat (1) ke kas negara.
Pasal 26
(1) Pihak Yang Terutang dapat meminta pengesahan kepada Pejabat sebagaimana dimaksud dalam Pasal 23 ayat (1) atas Dokumen yang Bea Meterainya ditetapkan dengan surat ketetapan pajak sebagaimana dimaksud dalam Pasal 25.
(2) Dalam hal diperlukan pengesahan sebagaimana dimaksud pada ayat (1), Pejabat melakukan penelitian mengenai:
a. kesesuaian nilai pembayaran dalam SSP yang telah mendapatkan NTPN dengan jumlah Bea Meterai yang ditetapkan dengan surat ketetapan pajak; dan
b. kesesuaian kode akun pajak dan kode jenis setoran.
(3) Dalam hal ketentuan sebagaimana dimaksud pada ayat (2) telah terpenuhi, Pejabat sebagaimana dimaksud pada ayat (1) melakukan pengesahan dengan membubuhkan cap Pemeteraian Kemudian pada Dokumen atau daftar Dokumen yang Bea Meterainya ditetapkan dengan surat ketetapan pajak.
Pasal 27
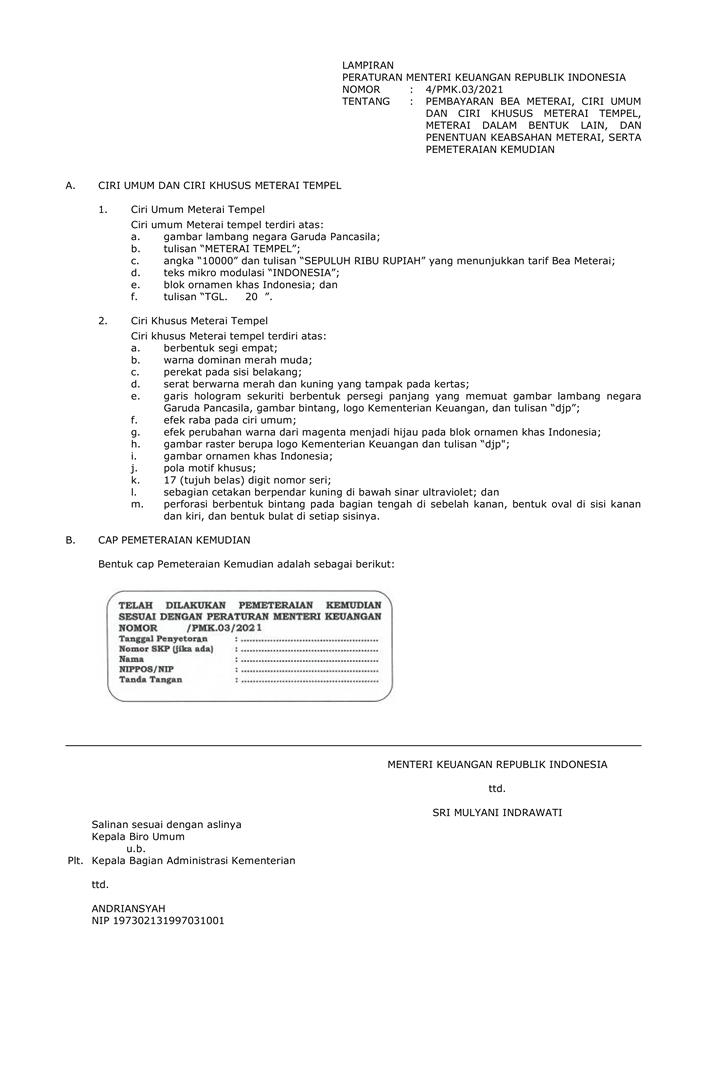
Bentuk cap Pemeteraian Kemudian sebagaimana dimaksud dalam Pasal 23 ayat (3), Pasal 24 ayat (2), dan Pasal 26 ayat (3) tercantum dalam Lampiran huruf B yang merupakan bagian tidak terpisahkan dari Peraturan Menteri ini.
Pasal 28
(1) Kepala KPP tempat Pihak Yang Terutang terdaftar menyampaikan pemberitahuan kepada Kepala KPP tempat Pemungut Bea Meterai terdaftar dalam hal ditemukan data bahwa Dokumen yang Bea Meterainya tidak atau kurang dibayar merupakan Dokumen yang Bea Meterainya seharusnya dipungut oleh Pemungut Bea Meterai.
(2) Kepala KPP tempat Pemungut Bea Meterai terdaftar menindaklanjuti pemberitahuan sebagaimana dimaksud pada ayat (1) sesuai dengan ketentuan peraturan perundang-undangan mengenai Bea Meterai.
BAB V
KETENTUAN PERALIHAN
Pasal 29
Pada saat Peraturan Menteri ini mulai berlaku:
- Meterai tempel yang telah dicetak berdasarkan Peraturan Menteri Keuangan Nomor 65/PMK.03/2014 tentang Bentuk, Ukuran, dan Warna Benda Meterai tetap berlaku dan masih dapat dipergunakan sampai dengan tanggal 31 Desember 2021, dan tidak dapat ditukarkan dengan uang atau dalam bentuk apa pun.
- Pembayaran Bea Meterai dengan menggunakan Meterai tempel sebagaimana dimaksud dalam huruf a dilakukan dengan:
- menggunakan Meterai tempel yang sah dan berlaku sesuai dengan Peraturan Menteri Keuangan Nomor 65/PMK.03/2014 tentang Bentuk, Ukuran, dan Warna Benda Meterai, serta belum pernah dipakai untuk pembayaran Bea Meterai atas suatu Dokumen;
- Meterai tempel direkatkan pada Dokumen yang terutang Bea Meterai dengan nilai total paling sedikit Rp9.000,00 (sembilan ribu rupiah);
- Meterai tempel direkatkan seluruhnya dengan utuh dan tidak rusak di tempat Tanda Tangan akan dibubuhkan; dan
- Tanda Tangan dibubuhkan sebagian di atas kertas dan sebagian di atas semua Meterai tempel disertai dengan pencantuman tanggal, bulan, dan tahun dilakukannya penandatanganan.
- Izin pembubuhan tanda Bea Meterai lunas dengan menggunakan mesin teraan meterai digital dan teknologi percetakan, serta izin sebagai pelaksana pembubuhan tanda Bea Meterai unas yang diterbitkan berdasarkan Keputusan Menteri Keuangan Nomor 133b/KMK.04/2000 tentang Pelunasan Bea Meterai dengan Menggunakan Cara Lain masih berlaku sampai dengan masa berlaku izin berakhir atau izin dicabut.
- Izin pembubuhan tanda Bea Meterai lunas dengan menggunakan sistem komputerisasi yang diterbitkan berdasarkan Keputusan Menteri Keuangan Nomor 133b/KMK.04/2000 tentang Pelunasan Bea Meterai dengan Menggunakan Cara Lain masih berlaku dalam hal:
- pihak yang memiliki izin melakukan pembayaran Bea Meterai di muka sesuai kebutuhan pemeteraian dan melaporkan pembubuhan tanda Bea Meterai lunas ke KPP tempat pihak yang memiliki izin diadministrasikan; dan
- izin belum dicabut.
- Tanda Bea Meterai lunas yang telah dibubuhkan pada Dokumen berdasarkan Keputusan Menteri Keuangan Nomor 133b/KMK.04/2000 tentang Pelunasan Bea Meterai dengan Menggunakan Cara Lain dapat digunakan untuk pembayaran Bea Meterai yang terutang.
- Selisih antara Bea Meterai yang seharusnya terutang dan tarif Bea Meterai yang tertera pada tanda Bea Meterai lunas sebagaimana dimaksud dalam huruf e wajib dilunasi dengan menggunakan mesin teraan meterai digital atau SSP, paling lama sebelum Dokumen digunakan.
BAB VI
KETENTUAN PENUTUP
Pasal 30
Pada saat Peraturan Menteri ini mulai berlaku:
- Keputusan Menteri Keuangan Nomor 133b/KMK.04/2000 tentang Pelunasan Bea Meterai dengan Menggunakan Cara Lain;
- Peraturan Menteri Keuangan Nomor 65/PMK.03/2014 tentang Bentuk, Ukuran, dan Warna Benda Meterai (Berita Negara Republik Indonesia Tahun 2014 Nomor 530); dan
- Peraturan Menteri Keuangan Nomor 70/PMK.03/2014 tentang Tata Cara Pemeteraian Kemudian (Berita Negara Republik Indonesia Tahun 2014 Nomor 568),
dicabut dan dinyatakan tidak berlaku.
Pasal 31
Peraturan Menteri ini mulai berlaku pada tanggal diundangkan.
Agar setiap orang mengetahuinya, memerintahkan pengundangan Peraturan Menteri ini dengan penempatannya dalam Berita Negara Republik Indonesia.
|
|
Ditetapkan di Jakarta
pada tanggal 19 Januari 2021
MENTERI KEUANGAN REPUBLIK INDONESIA,
ttd.
SRI MULYANI INDRAWATI
|
Diundangkan di Jakarta
pada tanggal 20 Januari 2021
DIREKTUR JENDERAL
PERATURAN PERUNDANG-UNDANGAN
KEMENTERIAN HUKUM DAN HAK ASASI MANUSIA
REPUBLIK INDONESIA,
ttd.
WIDODO EKATJAHJANA
lampiran
