PT. HBMS Consulting
Menu
  Bisnis dan Perpajakan
Konsultasi Online eConsult
  • Home
  • Tentang Kami
  • Transfer Pricing
    • Peraturan
    • Summary
    • Artikel
  • Bisnis Restorasi
    • Artikel
    • Galeri
    • Youtube
    • Kasus
  • Perpajakan
    • Peraturan
    • Summary
    • Artikel
  • Bisnis Dan Manajemen
    • Ketenagakerjaan
    • Bea Cukai
    • Perizinan
    • Bisnis
    • Manajemen
  • Media
    • Galeri
    • Youtube
    • Penghargaan
  • Rekanan Kami
  • Karir
  • Hubungi Kami
  • Cari
Home > Perpajakan > Peraturan > Pajak Peraturan > SURAT EDARAN NOMOR SE - 11/PJ/2020
Print Print

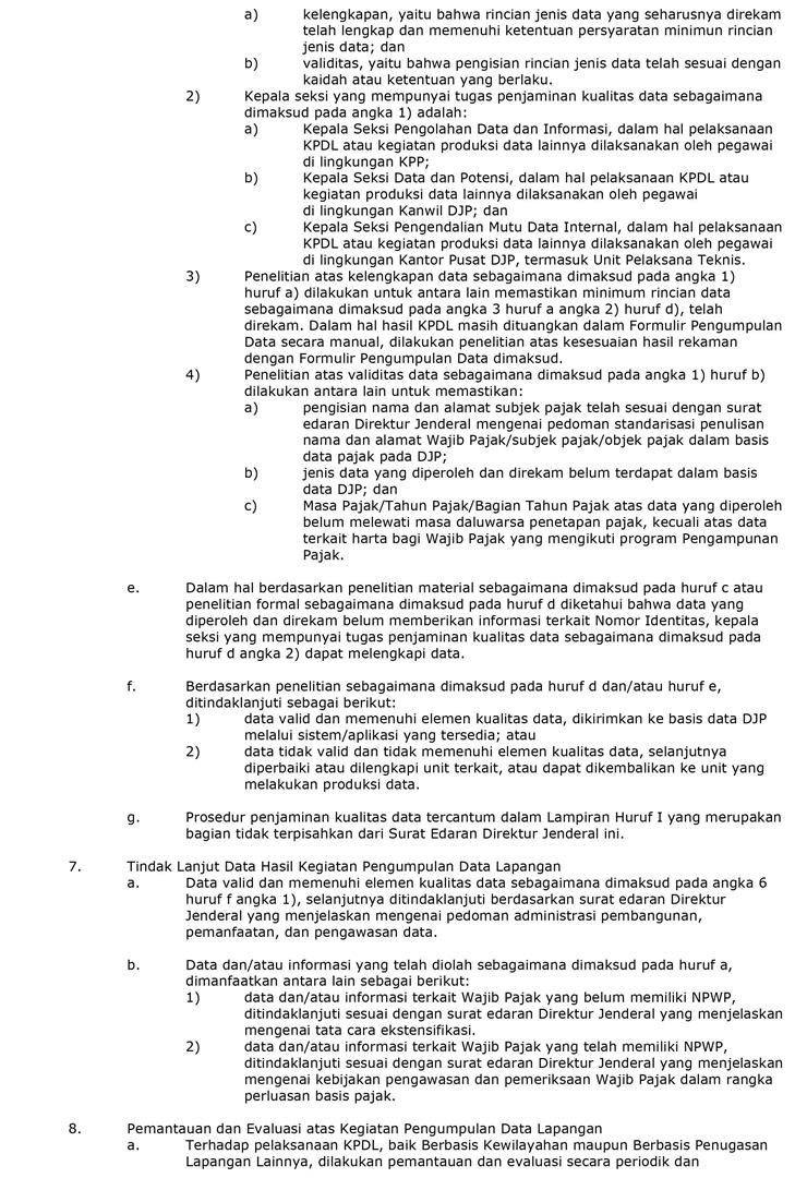
SURAT EDARAN NOMOR SE - 11/PJ/2020

#FOLLOW Bisnis dan Perpajakan
Copyright © 2026 by PT. HBMS Consulting. All rights reserved. Web design by  PSWebMedia
Back to Top